猫都论坛
网上服务大厅
English
主页
猫都论坛概况
猫都论坛简介
历史沿革
历任领导
现任领导
组织机构
党群工作
猫都论坛公告
党群活动
党员风采
学习园地
公示信息
师资队伍
师资概况
教师主页
人才招聘
教育教学
本科生教育
研究生教育
科学研究
猫都论坛公告
科研概况
科研动态
公示信息
学生工作
猫都论坛公告
管理规定
团学活动
就业政策
公示信息
国际交流
猫都论坛公告
联合培养
合作研究
国际会议
公示信息
校友之窗
校友动态
校友相册
校友风采
办事指南
党务工作
人事工作
本科生教务
研究生教务
学生工作
国际化工作
科研管理
仪器及资产
财务报销
主页
猫都论坛新闻
专题列表
语言文字
安全教育
样板支部
电气先锋
考试安排
本科生考试安排
研究生考试安排
学术之窗
学术报告
公示栏
本科生考试安排
当前位置:
主页
>
考试安排
>
本科生考试安排
>
正文
>
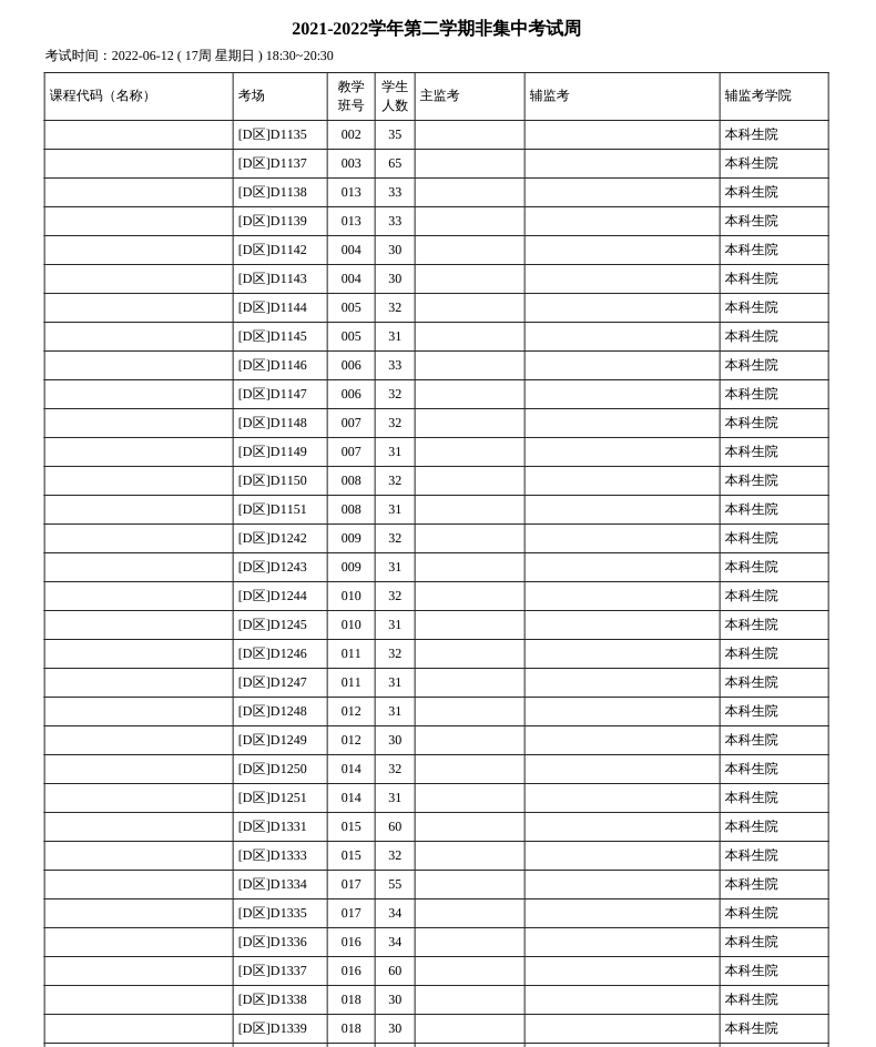
猫都论坛 2021-2022第二学期9-17周专业课考试安排
作者:韩玉婷
时间:2022-05-10
点击数量:
附件【
2021-2022第二学期9-17周专业课考试安排.pdf
】已下载
次
上一篇:
2021-2022第二学期期末集中考试周(18周)考试安排
下一篇:
2021-2022第一学期期末考试周(19周)专业课考试安排